Sol Bianca


 Info  Votes  Messages  More Stats  Up One Level
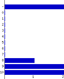
Statistics:

CountTot WeightMedianAvgW AvgStd DevW Std Dev
Animation00.00-0.00-
Plot00.00-0.00-
Humor00.00-0.00-
Sound Track00.00-0.00-
Overall559.09.209.20000.750.75

Vote distribution:
graph

[Click Here to Login]
Don't have a login? Register!