Pentax Zoom 8mm-24mm


 Info  Votes  Messages  More Stats  Up One Level
Statistics:

CountTot WeightMedianAvgW AvgStd DevW Std Dev
Optics52310.09.609.52170.490.50
Value5239.09.008.60871.101.44
Overall6269.59.339.15380.750.95

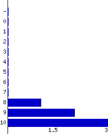
Vote distribution:
graph

[Click Here to Login]
Don't have a login? Register!