Swarovski Habicht 7x42 GA


 Info  Votes  Messages  More Stats  Up One Level
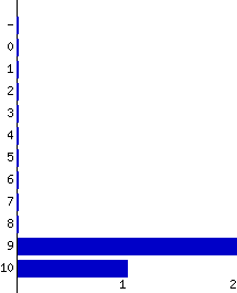
Statistics:

CountTot WeightMedianAvgW AvgStd DevW Std Dev
Optics2210.010.0010.00000.000.00
Value229.59.509.50000.500.50
Overall339.09.339.33330.470.47

Vote distribution:
graph

[Click Here to Login]
Don't have a login? Register!