Dynaudio Contour 3.3


 Info  Votes  Messages  More Stats  Up One Level
Statistics:

CountTot WeightMedianAvgW AvgStd DevW Std Dev
Sound Quality00.00-0.00-
Looks00.00-0.00-
Value00.00-0.00-
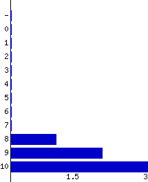
Overall669.59.339.33330.750.75

Vote distribution:
graph

[Click Here to Login]
Don't have a login? Register!