Visoner 12x60


 Info  Votes  Messages  More Stats  Up One Level
Statistics:

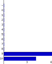
CountTot WeightMedianAvgW AvgStd DevW Std Dev
Optics229.09.009.00000.000.00
Value2210.010.0010.00000.000.00
Overall10179.09.409.23530.490.42

Vote distribution:
graph

[Click Here to Login]
Don't have a login? Register!