dvdclimax


 Info  Votes  Messages  More Stats  Up One Level
Statistics:

CountTot WeightMedianAvgW AvgStd DevW Std Dev
Price00.00-0.00-
Service00.00-0.00-
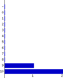
Overall3310.09.679.66670.470.47

Vote distribution:
graph

[Click Here to Login]
Don't have a login? Register!