Televue Visual Paracorr


 Info  Votes  Messages  More Stats  Up One Level
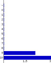
Statistics:

CountTot WeightMedianAvgW AvgStd DevW Std Dev
Performance229.09.009.00000.000.00
Value228.58.508.50000.500.50
Overall5510.09.609.60000.490.49

Vote distribution:
graph

[Click Here to Login]
Don't have a login? Register!