B&K AV5000


 Info  Votes  Messages  More Stats  Up One Level
Statistics:

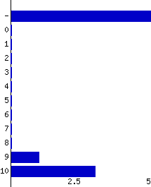
CountTot WeightMedianAvgW AvgStd DevW Std Dev
Sound Quality00.00-0.00-
Value00.00-0.00-
Overall4410.09.759.75000.430.43

Vote distribution:
graph

[Click Here to Login]
Don't have a login? Register!