Intes Micro MK-66


 Info  Votes  Messages  More Stats  Up One Level
Statistics:

CountTot WeightMedianAvgW AvgStd DevW Std Dev
Optics81110.09.639.72730.480.45
Mount00.00-0.00-
Ease of Use699.09.179.44440.370.50
Value71010.09.579.70000.730.64
Overall14179.59.149.29411.121.07

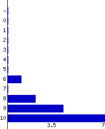
Vote distribution:
graph

[Click Here to Login]
Don't have a login? Register!