Edmund 6" F/8


 Info  Votes  Messages  More Stats  Up One Level
Statistics:

CountTot WeightMedianAvgW AvgStd DevW Std Dev
Optics32110.09.679.95240.470.21
Mount3217.06.005.57143.744.40
Ease of Use3219.06.675.66674.034.45
Value3219.07.336.61903.093.46
Overall7279.08.867.96301.642.30

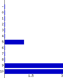
Vote distribution:
graph

[Click Here to Login]
Don't have a login? Register!