Helix Laser Collimator


 Info  Votes  Messages  More Stats  Up One Level
Statistics:

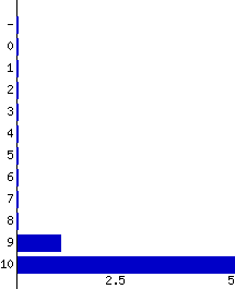
CountTot WeightMedianAvgW AvgStd DevW Std Dev
Performance61710.09.679.88240.470.32
Value61710.010.0010.00000.000.00
Overall61710.09.839.94120.370.24

Vote distribution:
graph

[Click Here to Login]
Don't have a login? Register!