Nikon Superior E 8x32


 Info  Votes  Messages  More Stats  Up One Level
Statistics:

CountTot WeightMedianAvgW AvgStd DevW Std Dev
Optics106710.09.909.98510.300.12
Value10679.59.108.53730.940.85
Overall106710.09.709.32840.460.47

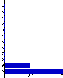
Vote distribution:
graph

[Click Here to Login]
Don't have a login? Register!