University Optics Konig MK-70 25mm


 Info  Votes  Messages  More Stats  Up One Level
Statistics:

CountTot WeightMedianAvgW AvgStd DevW Std Dev
Optics7289.08.438.85711.180.64
Value7289.08.579.32141.591.00
Overall16409.09.009.07501.060.72

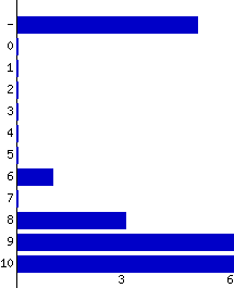
Vote distribution:
graph

[Click Here to Login]
Don't have a login? Register!