Swift UltraLite 8x42


 Info  Votes  Messages  More Stats  Up One Level
Statistics:

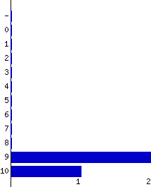
CountTot WeightMedianAvgW AvgStd DevW Std Dev
Optics269.09.009.00000.000.00
Value2610.010.0010.00000.000.00
Overall379.09.339.14290.470.35

Vote distribution:
graph

[Click Here to Login]
Don't have a login? Register!